金旋体育开户足球

Wujiang Bolin Industry Co., Ltd.
Date:
  Sulfathiazole
Sulfathiazole Sodium
Phthalylsulphathiazole
Sulfathiazolegranules
Sulfaquinoxaline
  1-fluoronaphthalene
2-amino-2-thiazoline hydrochloride
4-Aminobenzenesulfonic acid
4-Toluenesulfonyl chloride
Methyl p-tolyl sulfone
  Ethyl 6,8-dichlorocaprylate
α-iponic acid
 
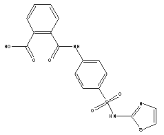
Phthalylsulphathiazole
 
Alias:
(o-carboxybenzoyl)-p-aminophenylsulfonamidothiazole
CAS NO.:

85-73-4

Molecular Formula:
C17H13N3O5S2=403.4
Appearance:
white or similar to white crystalline powder, odorless, soluble in dimethylformamide, slightly soluble in ethanol, water and chloroform. M.P. is 198-204℃
Structural Formula:
Indications:
used for stomach/intestinal infection, bacillary dysentery, bacteroidal abdominal catarrh etc.
Quality Standard:
BP2002
Acidity:
≤1ml
Chlorides:
≤0.014%
Drying Loss:
≤2%
Residue on Ignition:
≤0.1%
Heavy Metal:
≤20PPM
Aromatic amine and related substances:
≤2%
Assay:
98.5-101.5%
[ Back ]
 
Copyright(C)2014, All Rights Reserved. Supported by Copyright Notice